Спектр масс элементарных частиц, связь микро и макро масштабов, соотношение космических энергий
Категория реферата: Рефераты по математике
Теги реферата: класс, конспект урока 6 класс
Добавил(а) на сайт: Николенко.
Предыдущая страница реферата | 11 12 13 14 15 16 17 18 19 20 21 | Следующая страница реферата
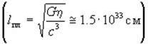
2. Если максимально возможная плотность вещества – это
(то есть масса
Планка на квант пространства), то, если предположить, что минимальная плотность
– это
, то есть, наоборот, квант массы приходится на весь “диапазон” пространства, получим:
;
,
тогда для массы Вселенной:

![]()
- критический радиус.
.
Этот размер совпадает со временем жизни протона, умноженным на скорость света:
,
.
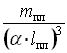
3. В момент возникновения вселенной период экспоненциального расширения (инфляция) – размер и масса (как одно из измерений) шестимерного образования (элемент Планка) возрастают в a = e144 раз. То есть
,
.
,
.
В то же время происходит распад шестисферы Планка на c
- частицы (n=12) с массой
, то есть происходит
разделение 6-ти равноправных измерений на вещество и пространство-время.
Отношение массы Планка к массе c - частицы равно
,
где
- постоянная тонкой
структуры (не путать с a - постоянной инфляции).
Площадь 6-ти сферы в 7-ми мерном пространстве равна
,
то есть шестисфера Планка “включает”
c - частиц (так
как масса – одно из измерений).

- это фундаментальная константа космологии определяет барионную асимметрию Вселенной (отношение числа фотонов реликтового излучения к числу барионов в единице объема).
По-другому, из экспериментальных данных, постоянную b можно вычислить как:
,
где nB – плотность барионов

- современная оценка из астрономических данных.
Рекомендуем скачать другие рефераты по теме: сочинение сказка, ответы по истории.
Предыдущая страница реферата | 11 12 13 14 15 16 17 18 19 20 21 | Следующая страница реферата